위키백과

비스페놀A와 포스젠 칼라폴리카보네이트의 합성폴리카보네이트(영어:polycarbonate, PC)는 비스페놀A(BPA)와 호스젠의 연쇄구조로 이루어진 무색 투명한 무정형의 열가소성 플라스틱 중합체이다. 모노머 단위끼리의 결합이 카보네이트 즉 탄산에스테르(-O-(C=O)-O-)로 구성되어 용이하게 가공할 수 있고 사출성형되어 열성형이 된다. 엔지니어링에 사용되는 폴리카보네이트는 강하고 거친 소재로 일부 등급은 광학적으로 투명하다. 이러한 특성 때문에 폴리카보네이트는 현대화학공업에서 많은 응용분야에 다양한 제품의 재료로 널리 쓰이고 있다. 렉산으로도 불린다.내열성, 내충격성, 투명성이 우수하여 상품의 플라스틱과 엔지니어링 플라스틱, 유리 대용 플라스틱으로 많이 사용됨. 휴대전화와 노트북 모니터 등 IT제품의 외장재는 물론 CD DVD 등 미디어광 저장매체 소재의 원료로 폭넓게 사용되는 고기능성 플라스틱이다.폴리카보네이트에는 고유의 수지식별코드(RIC)가 없어 RIC 리스트 7번, “OTHER(기타)”로 분류된다. 즉, 플라스틱 재활용 업체의 재질 분류 6개 항목 중 어느 것에도 속하지 않기 때문에 재활용 코드는 7번이다. 폴리카보네이트로 만든 제품은 전구체 모노마 비스페놀A(BPA)를 함유할 수 있다.독일 바이엘사가 1953년 처음 개발한 폴리카보네이트(polycarbonate) 등록 상표명을 본떠 마크로론(Makrolon)이라고도 한다. 아폴로 계획으로 달 표면에 활동하던 비행사들의 헬멧으로도 쓰였던 1956년 독일의 헤르만 슈넬(Hermann Schnell)이 처음 합성한 것이며, 1958년 바이엘(Bayer AG)로부터 필름과 성형재료로 판매되었다. 이어 미국의 제너럴일렉트릭을 비롯해 각국에서 공업화됐다.
물성밀도: 1.20g/cm3 가용 온도: -100℃ to +180℃ 열변형 온도: 135℃ 녹는점: 약 250℃ 굴절률: 1.585 ± 0.001 광투과율: 90% ± 1% 열전도율: 0.19W/mK선
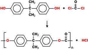
제조법 비스페놀A와 포스젠으로 폴리탄산염이 생성된다. 비스페놀A와 포스젠(또는 디페닐 카르보닐)을 원료로 생산되며, 염화 카르보닐(호스젠)을 이용할 경우 계면 중축합에 의해 폴리머화(polymerization)된다. 디페닐카보네이트를 사용하는 경우는 에스테르 교환에 의한 중합으로 합성된다.
제품
전기·전자·광학 기기[편집]CD, DVD와 BD(LD는 아크릴 수지이다)가 전제품 광섬유 카메라 본체(필름카메라 포함) 쌍안경 액정TV 백라이트 시스템용 광확산판 개인용 컴퓨터 케이스(맥북 등) 스마트폰 케이스(아이폰 5C 등) 시계(스위스 시계업체 Hebdomas의 HEBMILANO 등) 복사기와 레이저 프린터의 감광체 운송장비[편집] 주로 윈드 실드용으로 사용한다.항공기(군용기, F-22 조종석 캐노피, 여객기 객실 창문 등) 자동차·오토바이 등 방향지시등과 미등 및 각 렌즈류, 경량창, 보호격벽 등 오토바이용 헬멧 모자형 페이스쉴드 기타 장비[편집]기계의 유면·액면 확인용 표시창 의료 기기 건축 자재, 차양 (캐노피) 잡화·가정용품 [편집]젖병과 식기 무선 조종 자동차, 미니 카 바디 커버
장점 투명성·내충격성·내열성·난연성·치수 안정성, 내후성, 자기 소화성(self-extinguishability) 등으로 높은 물리적 성질을 보인다. 충격에 견디는 내충격성은 일반 유리의 250배 이상이다.[1] 내산성, 내유성이 뛰어나 자외선에 강하고 알칼리성이다.엔지니어링 플라스틱 중에서도 평균적으로 높은 물성을 가진 합성수지이며 투명한 성질을 이용하여 광학 용도로도 사용 가능하다. 상대적으로 저렴하게 항공기·자동차 등 운송 장비, 전기·전자 광학·의료 기기, 방탄 유리 재료 등으로 널리 쓰이고 있다. 기계적 강도도 뛰어나기 때문에 하중을 받는 플라스틱 나사에서 가장 많이 사용되는 재료이다.
단점 제품의 내구성은 그다지 좋다고는 할 수 없다. 특히 알칼리성 세제, 알칼리 용제에 의해 손상된다. 접착제 등을 사용할 수 없다.에스테르 결합을 실시하기 때문에 고온 고습도 환경에서는 가수분해한다.인장강도 이상의 힘을 가하면 백화현상이 발생하여 투명도가 현저하게 저하된다.
